HÌNH ẢNH Y KHOA – Khi sếp tổng ngành thì vào tù, sếp phó ngành nộp đơn nghỉ việc…thì bảo sao nhân viên y tế không khốn đốn. Mà cái gì phải đến, thì phải đến thôi…
RỜI BỎ BỆNH VIỆN CÔNG
Tác giả: Thư Anh – Thùy An – Khánh Hoàng – Thanh Hạ
Nguồn: vnexpress.net (02/6/2022)

Hàng nghìn nhân viên bệnh viện công ở TP HCM đã chuyển sang hệ thống y tế tư, khiến cơ hội tiếp cận y bác sĩ giỏi của phần lớn người dân có nguy cơ bị tước đoạt.
Tình hình thực tế
Về nhà sau ca trực dài 12 tiếng, Trung, 32 tuổi, điều dưỡng của bệnh viện hạng một tại TP HCM, nhận được tin nhắn ngân hàng báo có lương tháng hai. Nhưng tài khoản chỉ nhận được 7 triệu đồng thay vì 10 triệu như anh dự đoán. Nửa tháng lương đi chống dịch ở Cần Giờ vẫn chưa được bệnh viện thanh toán. Điều này đồng nghĩa với việc anh không đủ tiền lo chi phí cho vợ sinh mổ đứa con thứ hai vào hai tuần tới.
“Ngày mai anh nộp đơn nghỉ việc…”, Trung nói, không ngoảnh nhìn vợ – chị Mai, đang nặng nề từ bếp đi lên. Đây là lần thứ 5 anh nói với vợ, cũng là đồng nghiệp cùng khoa, sau hơn một năm bệnh viện thực hiện cắt giảm 30% thu nhập nhân viên. Những lần trước, chị Mai ôm chồng khóc, gạt đi, khuyên anh cố gắng làm tiếp một thời gian vì biết đâu bệnh viện sẽ phục hồi lại khoản thưởng đã cắt. Lần này, vợ anh chỉ thở dài.

Anh Trung và chị Mai đã làm cật lực, cả năm không nghỉ phép, tổng thu nhập tháng nhiều nhất 12-13 triệu đồng. Với số tiền này, họ tính toán chi ly từng chút mới co kéo vừa đủ cho gia đình 4 người. Trong đó, riêng tiền bỉm sữa cho cậu con đầu lòng đã hết 5 triệu; tiền xăng xe từ nhà tới bệnh viện mỗi người gần hai triệu đồng vì vợ chồng làm lệch ca; còn lại lo ăn uống, điện nước…
Cũng như các bệnh viện công khác tại TP HCM, nơi anh Trung công tác được giao tự chủ, lương thưởng nhân viên phụ thuộc vào nguồn thu từ khám chữa bệnh. Nhưng khi Covid-19 ập đến, bệnh nhân thông thường giảm mạnh, thu nhập của vợ chồng anh Trung vì thế bị cắt giảm. “Lương không đủ nuôi thân nói gì đến gánh vác gia đình. Chẳng ai muốn rời bỏ nơi mình đã gắn bó cả thanh xuân. Nhưng tôi không có lựa chọn khác”, anh nói.
Trung là một trong 400 nhân viên bệnh viện công và các trạm y tế của TP HCM nghỉ việc trong quý I năm nay. Con số này bằng tổng số người nghỉ việc trung bình mỗi năm – trước khi đại dịch xuất hiện. Riêng năm 2021 ngành y tế thành phố ghi nhận khủng hoảng lực lượng lao động với số người nghỉ việc tăng đột biến là 1.154.
Chi tiết số nhân viên y tế nghỉ việc năm 2021

Theo Giám đốc Sở Y tế TP HCM Tăng Chí Thượng, có nhiều lý do họ nghỉ việc, song sự khắc nghiệt từ Covid-19 chính là giọt nước tràn ly. “Dễ thấy nhất là họ bị kiệt sức sau nhiều tháng tham gia chống dịch nhưng thu nhập quá thấp, không thể trụ được với nghề”, ông nói.
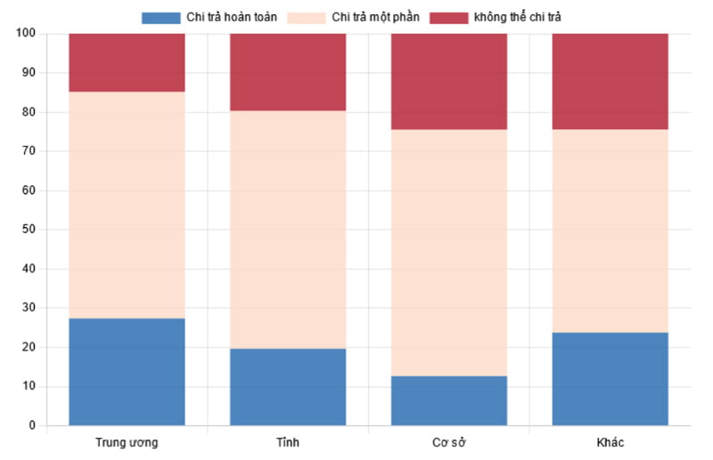
Kết quả nghiên cứu Tình trạng lương khu vực công đối với nhân viên y tế tuyến đầu trong Covid-19 với 2.472 nhân viên y tế trên khắp cả nước, được Hội Thầy thuốc trẻ Việt Nam công bố cuối năm 2021, cho thấy lương bình quân của họ ước tính 7,36 triệu đồng. Trong khi chi phí sinh hoạt bình quân ở Hà Nội, TP HCM là 10-11 triệu đồng. Với mức lương này, chỉ 19,1% nhân viên y tế cho biết có thể chi trả hoàn toàn chi phí sinh hoạt.
“Chế độ tiền lương khu vực công hiện nay rõ ràng là không hiệu quả trong việc tạo ra một mức lương thỏa đáng và tương xứng cho nhân viên y tế, khiến họ gặp khó khăn về tài chính và cảm thấy bị đánh giá thấp, không có động lực và muốn nghỉ việc”, báo cáo nêu.
Số lượng nhân viên y tế phân theo các mức lương

Mức chi trả sinh hoạt theo lương của các tuyến nhân viên y tế

Ngoài ra, khoảng 60% nhân viên y tế phải cáng đáng khối lượng công việc và thời gian làm việc tăng đáng kể khi đại dịch diễn ra. Trong số các nhân viên y tế được khảo sát có hơn 1/3 cho biết lương, thưởng và phụ cấp của họ đã bị giảm; hơn 62% cán bộ y tế không có trợ cấp trong đại dịch.
TP HCM từ lâu đã có số lượng bác sĩ và y tá trên đầu người thấp hơn đáng kể so với các hệ thống tương đương. Tỷ lệ nhân viên y tế/10.000 dân ở thành phố chỉ đạt 2,31; trong khi ở Hà Nội là 6,8 và trung bình cả nước là 7. Ở các nước phát triển, tỷ lệ này là 32-62 y bác sĩ.
Nghiên cứu của Hội Thầy thuốc trẻ Việt Nam cho thấy, Covid-19 đã khiến khoảng 40% số người được khảo sát gặp phải những khó chịu và suy giảm về sức khỏe thể chất; 70% bị lo lắng và trầm cảm; 25% giảm mức độ hài lòng với công việc của họ…
Từng có mặt ở các tâm dịch TP HCM, Hà Nội, Bắc Giang, An Giang… bác sĩ Ngô Đức Hùng (Khoa cấp cứu A9 – Bệnh viện Bạch Mai) cho biết, những ngày quay cuồng giành mạng sống cho người dân tại Sài Gòn, tất cả nhân viên y tế – hàng phòng vệ cuối cùng, đều bị vắt kiệt sức.
Anh và các đồng nghiệp dù đã chuẩn bị tâm lý từ trước khi lên đường vào đây, song không thể hình dung mỗi ngày số bệnh nhân tăng cả nghìn ca, lại toàn ca nặng, nguy cơ tử vong cao. Tình trạng kéo dài từ ngày này qua ngày khác khiến nhân viên y tế bị sốc, stress. Nhiều người không thể ngủ vì bị ám ảnh tiếng máy thở, tiếng còi hụ cấp cứu, hay hình ảnh hàng loạt bệnh nhân thoi thóp… Nhiều bác sĩ phải dùng thuốc an thần, được đồng nghiệp chuyên khoa tâm lý hỗ trợ giải tỏa áp lực, mới có thể tiếp tục làm việc.
“Đại dịch buộc các y bác sĩ trưởng thành và vững vàng hơn. Nhưng nó cũng khiến tôi cùng các đồng nghiệp mệt mỏi, khủng hoảng, còn đau thương thì đủ cho cả một đời người”, bác sĩ Hùng nói.
Trong 2.472 nhân viên y tế được Hội Thầy thuốc trẻ Việt Nam đề nghị đánh giá về khả năng duy trì công việc hiện tại có 3,4% cho biết “chắc chắn từ bỏ”. Điều dưỡng Thanh, 40 tuổi nói “suốt đời sẽ không thể quên” những tháng ngày làm việc đến sức cùng lực kiệt tại trạm y tế thuộc quận 11, nhất là thời điểm Covid-19 hoành hành hồi tháng 7 năm ngoái. Trạm vốn ít người, song phải chịu trách nhiệm 19 chương trình mục tiêu quốc gia như: sức khỏe sinh sản, sức khỏe trẻ em, tiêm chủng mở rộng, người cao tuổi, khám nghĩa vụ quân sự, vệ sinh môi trường…
Bình thường, chị đã phải phụ trách nhiều đầu việc, làm không xuể. Khi dịch bệnh ập tới, chị cùng đồng nghiệp đi khắp phường lấy mẫu xét nghiệm, điều tra dịch tễ, vận chuyển người bệnh, nghe điện thoại khai báo F0, tư vấn cho người bệnh, nhập hồ sơ quản lý F0, tiêm chủng vaccine… Nhưng lương của chị chỉ ở mức 6,5 triệu đồng mỗi tháng – tăng không đáng kể so với mức lúc mới ra trường.
“Cực mấy tôi cũng chịu được nhưng tôi không thể để các con mình phải sống khổ thêm”, chị Thanh nói lý do xin nghỉ việc ở nơi đã gắn bó suốt 16 năm, chuyển sang một bệnh viện tư hồi tháng 3. “Tôi mất 18 ngày đấu tranh tâm lý, cũng không ít nước mắt nuối tiếc”.

‘Hơn 50% nhân sự bệnh viện tư là từ công lập’
Qua hai năm chống dịch, hàng nghìn nhân sự đã đổi nghề hoặc chuyển công tác từ công lập sang tư nhân, dẫn đến gia tăng nguy cơ thiếu nhân lực, theo Ban chỉ đạo phòng chống dịch quốc gia.
Những năm qua, thực hiện chủ trương xã hội hóa dịch vụ y tế, mạng lưới y tế tư nhân ngày càng phát triển. Riêng TP HCM hiện có 64 bệnh viện tư, nhiều hơn 16% so với bệnh viện công và 6.438 phòng khám đa khoa, chuyên khoa.
Lãnh đạo một bệnh viện tư hạng sang ở Sài Gòn cho biết, hơn 50% nhân sự chủ chốt của các bệnh viện tư nhân là từ bệnh viện công lập qua, đặc biệt là nhân sự cao cấp. Bởi bệnh viện tư khi thành lập, hoạt động buộc phải tận dụng nguồn nhân lực giỏi chuyên môn, giàu kinh nghiệm – tức phải mời các bác sĩ có thâm niên lâu năm về làm việc. Và các y bác sĩ này chủ yếu ở các khối chuyên môn quan trọng như xét nghiệm, chẩn đoán hình ảnh, giải phẫu bệnh…
Theo Phó giáo sư Phạm Khánh Phong Lan, đại biểu Quốc hội, Trưởng Ban Quản lý An toàn thực phẩm TP HCM, tình trạng nhân viên y tế nghỉ việc hàng loạt hiện nay “rất đáng báo động”. TP HCM đang là địa bàn ảnh hưởng nhiều nhất.
“Hệ thống y tế công lập mất hàng loạt nhân viên đồng nghĩa với việc số đông người dân đã bị tước đoạt cơ hội được tiếp xúc với y bác sĩ giỏi”, bà Lan nói, lý giải rằng không phải người dân nào cũng có điều kiện kinh tế để chi trả mức phí cao của bệnh viện tư. Điều này đi ngược lại mục tiêu của ngành y tế là công bằng, không phân biệt bệnh nhân giàu nghèo.
Thực tế người dân các nơi đổ tới bệnh viện công tại Hà Nội và TP HCM vì tin vào chất lượng khám chữa bệnh. Mà chất lượng này được tạo ra chủ yếu từ tay nghề của y bác sĩ. Cả y tế công và tư đều đang thiếu nhân sự, song với chế độ đãi ngộ tốt hơn, y tế tư nhân có thể thu hút nhân tài về đơn vị mình.
“Chảy máu chất xám ra y tế tư nhân là thế. Lãnh đạo các bệnh viện hoàn toàn hiểu thực trạng này nhưng họ bất lực, không thể giữ chân đồng nghiệp, vì vấn đề nằm ở cơ chế”, bà Lan nói, lý giải rằng các bệnh viện được giao tự chủ nhưng nguồn thu (giá khám chữa bệnh dịch vụ và bảo hiểm y tế) vẫn do Nhà nước quy định.
Tức là, giá viện phí chỉ được tính 4/7 yếu tố cấu thành khiến nguồn thu của bệnh viện rất thấp, không đủ đảm bảo lương và thu nhập cho cán bộ y tế. Đã thế, khi Covid-19 xảy ra, nguồn thu này bị cắt đứt (bệnh nhân thông thường không đến khám chữa bệnh) đẩy các bệnh viện vào khó khăn, buộc phải cắt giảm thu nhập nhân viên.
“Các bệnh viện không dám xé rào vì sợ hậu quả pháp lý về sau”, bà Lan nói, song cho rằng đây là vấn đề TP HCM không thể tự mình thay đổi được mà cần các ngành các cấp từ trung ương đến địa phương ủng hộ về các quy trình, thủ tục, tài chính, cơ chế… Về lâu dài phải có chính sách của Chính phủ.
“Cái khó của y bác sĩ là họ đã quá quen chịu đựng. Nếu lương thấp, công nhân có thể đình công để đòi quyền lợi, còn nhân viên y tế thì không. Đạo đức nghề y không cho phép họ ngừng làm việc và bỏ mặc bệnh nhân”, bà Lan nói.
Nhìn về tương lai
Ngày 7/4, TP HCM đã thông qua nghị quyết về các chính sách đặc thù để nâng cao năng lực y tế cơ sở. Thành phố là địa phương tiên phong chi hơn 138 tỷ đồng mỗi năm cho 310 trạm y tế trên địa bàn, từ nay đến năm 2025 để thu hút nhân sự về làm việc.
Có 3 nhóm được hỗ trợ. Một là, bác sĩ trẻ mới ra trường được hỗ trợ 60 triệu đồng trong 18 tháng thực hành tại trạm; điều dưỡng, hộ sinh được hỗ trợ 30 triệu đồng trong 9 tháng thực hành. Nhóm hai là người cao tuổi đã về hưu sẽ nhận 9 triệu đồng mỗi tháng nếu là bác sĩ, 7 triệu đồng nếu có chuyên môn y tế khác, từ trình độ cao đẳng trở lên hoặc trung cấp y sĩ. Nhóm thứ ba là nhân viên vệ sinh và bảo vệ – hai nhân sự mới được tuyển dụng, sẽ được hỗ trợ 5,5 triệu đồng mỗi tháng.
Chính sách hỗ trợ chi phí sinh hoạt cho bác sĩ, điều dưỡng trẻ khi về thực hành tại trạm y tế được xem là đột phá, chưa từng có trong lịch sử ngành y tế TP HCM. Thay vì phải thực hành 18 tháng ở các bệnh viện như trước đây, bác sĩ thực hành 12 tháng ở trạm y tế và 6 tháng ở bệnh viện sẽ được cấp chứng chỉ hành nghề. Họ cũng không phải đóng tiền thực hành như luật cũ quy định mà còn được hỗ trợ một phần chi phí sinh hoạt.
Tuy nhiên, Phó giáo sư Đỗ Văn Dũng, Trưởng khoa Y tế công cộng, Đại học Y Dược TP HCM, cho rằng giải pháp đưa bác sĩ trẻ về y tế cơ sở, huy động cán bộ y tế nghỉ hưu, chỉ giải quyết vấn đề ngắn hạn chứ không bền vững. Thành phố chưa khắc phục những tồn tại ở trạm y tế như: chưa thay đổi chính sách nâng cao thu nhập cho những người đã gắn bó, làm việc ở trạm y tế hàng chục năm; chưa hỗ trợ và đãi ngộ bác sĩ, điều dưỡng ở bệnh viện công.
Ngành y tế thành phố sử dụng nhóm bác sĩ về hưu có thể giải quyết việc thiếu nhân lực trước mắt, song họ sẽ không thể gắn bó lâu dài do tuổi tác, sức khỏe. Bác sĩ, điều dưỡng trẻ vừa ra trường được đãi ngộ nhưng chưa hẳn sẽ ở lại trạm sau khi hoàn thành việc lấy chứng chỉ hành nghề. Muốn bền vững, trạm y tế cần được nâng cao vị thế trong mắt người dân cũng như trong chính ngành y tế. Ngoài việc trả công xứng đáng, trạm y tế phải thực sự được trao quyền, mở rộng danh mục kỹ thuật, tăng thuốc men…
Ngoài ra, thành phố phải đào tạo nhân lực y tế đúng hướng ngay từ đầu, cân bằng giữa y tế công cộng và y tế điều trị. Đặc biệt là cần tăng chỉ tiêu đào tạo y tế cơ sở, hỗ trợ học phí, tăng cường học bổng, tạo cơ hội bồi dưỡng, nâng cao nghiệp vụ thường xuyên.
“Cho cá, không bằng cho cái cần câu”, ông Dũng nói. “Tức là nhân viên y tế cơ sở cần có nhiều ưu đãi để tăng mức độ hài lòng với công việc, làm việc đúng chuyên môn, thu nhập cải thiện và nâng cao tay nghề”.
Trong khi đó, lãnh đạo một bệnh viện tư cho rằng, thu nhập là yếu tố quan trọng nhưng không phải là duy nhất tạo ra sự dịch chuyển nhân viên y tế từ công sang tư. Mà mục tiêu quan trọng của người làm nghề y là môi trường làm việc, cơ hội học tập, phát triển năng lực chuyên môn, quan hệ quốc tế; được đào tạo các kỹ thuật, dịch vụ mới; được đầu tư các trang thiết bị hiện đại phục vụ công việc hiệu quả…
Rời đơn vị đã gắn bó hàng chục năm là điều không dễ dàng với các y bác sĩ. Ai cũng chia sẻ sự tiếc nuối, buồn bã nhưng không hối hận vì đã tận hiến đến ngày làm việc cuối cùng. Hiện, điều dưỡng Trung và Thanh đã có công việc mới ở một bệnh viện khác với mức lương gấp 2-3 lần cơ quan cũ.
“Tôi đã cố gắng, kiên trì hết mức. Nhưng tôi không phải anh hùng, phía sau tôi còn cả một gia đình phải chăm lo”, anh Trung nói.
Về các giải pháp TP HCM vừa đưa vào áp dụng, anh Trung cho rằng chính sách này chỉ tác động phần nào cho nhóm nhân viên y tế cơ sở, chưa nhắm đến đối tượng là những người ở bệnh viện công như anh. Bản thân anh đã mất 2 năm chờ đợi sự thay đổi về chính sách lương thưởng của bệnh viện, nhưng không có dấu hiệu khả quan.
“Với cơ chế vận hành hiện tại, khó có cơ hội để phục hồi lương về mức cũ chứ chưa nói đến chuyện tăng thu nhập. Để giữ chân nhân viên y tế, ngoài lương, bệnh viện cần trả các phụ cấp, thu nhập tăng thêm xứng đáng với công sức người lao động đã bỏ ra. Nếu giải quyết được như vậy, có lẽ tôi đã không rời đi”, anh nói.
Thực trạng nhân viên y tế công lập bỏ sang bệnh viện tư làm việc đã được đề cập tại Hội nghị về chế độ, chính sách cho cán bộ y tế do Công đoàn Y tế Việt Nam (thuộc Tổng Liên đoàn Lao động Việt Nam) vừa tổ chức. Sau hàng loạt ý kiến đóng góp từ 110 đầu cầu trên cả nước, ngày 31/5, Công đoàn Y tế đã kiến nghị lãnh đạo Đảng và Nhà nước ban hành các chính sách để khắc phục 5 bất cập hiện tại, như: điều chỉnh lương khởi điểm của bác sĩ từ 2,34 lên 2,67 – tức tăng một bậc; nâng mức phụ cấp 20-70% hiện nay lên 100% và mở rộng nhóm người được hưởng; áp dụng thêm chính sách thâm niên nghề cho cán bộ y tế; chế độ thu hút nhân sự cho ngành; tính đủ các yếu tố cấu thành giá viện phí (7/7) để tạo thuận lợi cho các bệnh viện tự chủ hoàn toàn.
Thư Anh – Thùy An – Khánh Hoàng – Thanh Hạ
Xem thêm:
- Hồ sơ xin việc Bác sĩ, Điều dưỡng Bệnh viện công
- Lựa chọn hướng đi sau khi tốt nghiệp Bác sĩ đa khoa
- Con đường sau tốt nghiệp Y khoa – Chọn chứng chỉ hành nghề hay các khóa học cơ bản?
- Chương trình nội trú tại Mỹ dành cho Bác sĩ Việt Nam
- Bác sĩ Huỳnh Wynn Trần, VietMD và sách
- BS Trương Hoàng Hưng: Từ bác sĩ Việt Nam thành bác sĩ Mỹ – Con đường không trải hoa hồng
Trang web đang upload liên tục các video bài giảng và tài liệu chẩn đoán hình ảnh. Để nhận được thông báo về các bài viết mới nhất, vui lòng đăng ký tại Form nhận bản tin và theo dõi tại kênh Youtube


